- 빅분기
- boostcoures
- 빅데이터 분석 기반 에너지 운영 관리자 양성 및 취업과정
- 프로그래머스
- 부스트코스
- 기초다지기
- 빅데이터분석기사
- 네이버부스트캠프
- boostcourse
- 데이터 분석 기반 에너지 운영 관리자 양성 및 취업과정
- Machine Learning
- r
- PY4E
- python
- 이기적
- 정보처리기사
- 이것이 취업을 위한 코딩테스트다 with 파이썬
- 난생처음 R코딩&데이터 분석 저서
- 오라클
- 코딩테스트 python
- AI 플랫폼을 활용한 데이터 분석
- 코딩테스트
- Oracle
- 인공지능기초다지기
- SQL
- 데이터베이스
- [멀티잇]데이터 시각화&분석 취업캠프(Python)
- Ai
- DB
- 파이썬
- Today
- Total
매일공부
[스터디 3주차] 빅분기 2과목 통계 공식 정리 본문
스터디 3주차 공부 계획
1) 2과목 기술통계 & 추론통계 마무리
2) 1과목 1회독, 2과목 1회독3) 3과목 빠르게 1회독(전체 구성 파악)
4) 3과목 추가 요약 정리
결국 전체 복습과 추가 요약까지는....ㅠㅠㅠ

통계공식이 암기&이해가 힘들어서
시험 주에 문제를 풀어보면서 암기하고,
지금은 우선 pass

< 2과목 핵심 공식 정리 >
- 베이지안 정리

- 이산확률분포

- 연속확률분포


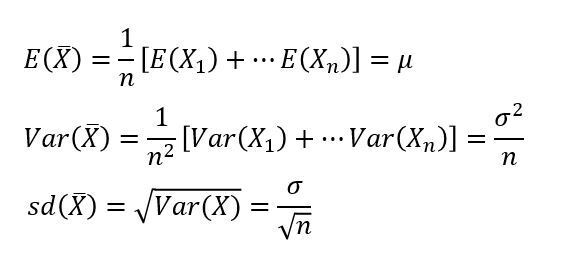
- 표본 평균의 분포

- 표준오차

- 표본비율

- 추론통계 : 점추정

- 추론통계 : 구간추정
- 가설검정 : 검정통계량

[ D-13 남은 스터디 계획 ]
4주차) 3과목, 4과목 정리
5주차) 문제 복습 & 모의고사 4회 & 이기적 CBT
문제를 많이 풀어보면서 정리하는게 더 효과적!
꼭 다음주에 교재 전체 정리 완료!! 👊
'IT > 빅데이터분석기사' 카테고리의 다른 글
| [스터디 2주차] 빅분기 1과목, 2과목 (0) | 2023.03.19 |
|---|---|
| [빅분기 1과목] 하둡 에코시스템(Hadoop EcoSystem) 이란? (0) | 2023.03.13 |
| [스터디] 2023 이기적 빅데이터분석기사 필기 기본서 리뷰 & 필기 재도전 (0) | 2023.03.07 |
| [빅데이터분석기사] 필기 대비 요약 링크 (0) | 2022.09.26 |
